கார்பாக்சிலிக் அமிலங்களை தயாரிக்கும் முறைகள்
கார்பாக்சிலிக் அமிலங்களை தயாரிக்கும் சில முக்கியமான முறைகள் பின்வருமாறு :
1. ஓரிணைய ஆல்கஹால்கள் மற்றும் ஆல்டிஹைடுகளிலிருந்து
பொட்டாசியம் பெர்மாங்கனேட் (அமில அல்லது கார ஊடகத்தில்), பொட்டாசியம் டைகுரோமேட் (அமில ஊடகத்தில்) போன்ற ஆக்ஸிஜனேற்றிகளைக் கொண்டு, ஓரிணைய ஆல்கஹால்கள் மற்றும் ஆல்டிஹைடுகளை எளிதாக ஆக்ஸிஜனேற்றம் செய்து கார்பாக்சிலிக் அமிலங்களாக மாற்ற முடியும்.
எடுத்துக்காட்டு

அமிலங்கள் அல்லது காரங்களைக் கொண்டு நைட்ரைல்களை நீராற்பகுப்பதன் மூலம் கார்பாக்சிலிக் அமிலங்கள் பெறப்படுகின்றன.
எடுத்துக்காட்டு

3. எஸ்டரின் அமில நீராற்பகுத்தல்
நீர்த்த கனிம அமிலங்களைக் கொண்டு எஸ்டர்களை நீராற்பகுப்பதன் மூலம் கார்பாக்சிலிக் அமிலங்கள் பெறப்படுகின்றன.
எடுத்துக்காட்டு

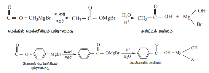
கிரிக்னார்டு வினைக்காரணியானது கார்பன் டையாக்சைடுடன் (உலர் பனிக்கட்டி) வினைபுரிந்து கார்பாக்சிலிக் அமில உப்புகளை உருவாக்குகின்றன, இவற்றை கனிம அமிலங்களைக் கொண்டு நீராற்பகுக்கும் போது கார்பாக்சிலிக் அமிலங்கள் கிடைக்கின்றன.
எடுத்துக்காட்டு

ஒரே ஒரு கார்பனைக் கொண்டிருப்பதால் ஃபார்மிக் அமிலத்தை கிரிக்னார்டு வினைக்காரணியிலிருந்து தயாரிக்க இயலாது.
5. அசைல்ஹேலைடுகள் மற்றும் அமில நீரிலிகளை நீராற்பகுத்தல் :
a) அமில குளோரைடுகளை நீராற்பகுக்கும்போது அவை கார்பாக்சிலிக் அமிலங்களை தருகின்றன.
எடுத்துக்காட்டு

b) அமில நீரிலிகளை நீராற்பகுக்கும்போது அவை கார்பாக்சிலிக் அமிலங்களை தருகின்றன.

6. ஆல்கைல் பென்சீனின் ஆக்ஸிஜனேற்றம்
ஆல்கைல் பென்சீன்களை குரோமிக் அமிலம் அல்லது அமில அல்லது காரங்கலந்த பொட்டாசியம் பெர்மாங்கனேட்டை கொண்டு வலிமையாக ஆக்ஸிஜனேற்றம் செய்து அரோமேடிக் கார்பாக்சிலிக் அமிலங்களை தயாரிக்க முடியும். பக்கச் சங்கிலியின் நீளத்தை சாராமல் முழுமையாக ஆக்ஸிஜனேற்றமடைந்து - COOH தொகுதியாக மாறுகிறது.
எடுத்துக்காட்டு

தன் மதிப்பீடு
1) n-புரப்பைல் பென்சீனை H+ / KMnO4 கொண்டு ஆக்ஸிஜனேற்றம் செய்யும்போது நிகழ்வதென்ன?
2) கிரிக்னார்டு வினைக்காரணியை பயன்படுத்தி பென்சாயிக் அமிலத்தை எவ்வாறு தயாரிப்பாய்?