கார்பனைல் சேர்மங்கள் மற்றும் கார்பாக்சிலிக் அமிலங்கள் | வேதியியல் - சுருக்கமாக விடையளி | 12th Chemistry : UNIT 12 : Carbonyl Compounds and Carboxylic Acids
வேதியியல் : கார்பனைல் சேர்மங்கள் மற்றும் கார்பாக்சிலிக் அமிலங்கள்
II. சுருக்கமாக விடையளி
1. (அ) ஒரு ஆல்கஹால் (ஆ) ஒரு ஆல்கைல்ஹேலைடு (இ) ஒரு ஆல்கேன் ஆகியவற்றை துவக்கச் சேர்மங்களாக கொண்டு புரப்பனாயிக் அமிலம் எவ்வாறு தயாரிக்கப்படுகிறது?

2. C2H3N எனும் மூலக்கூறு வாய்ப்பாடு கொண்ட சேர்மம் (A) ஆனது அமில நீராற்பகுப்பில் (B) ஐ தருகிறது, (B) ஆனது தயோனைல்குளோரைடுடன் வினைப்பட்டு சேர்மம் (C) ஐ தருகிறது, பென்சீன், நீரற்ற AlCl3 முன்னிலையில் (C) உடன் வினைப்பட்டு சேர்மம் (D) ஐ தருகிறது. மேலும் (C) ஒடுக்கமடைந்து சேர்மம் (E) ஐ தருகிறது. (A), (B), (C), (D) மற்றும் (E)ஆகியவற்றை கண்டறிக. சமன்பாடுகளை எழுதுக.

சேர்மம் : பெயர்
A - மெத்தில் சயனைடு
B - அசிட்டிக் அமிலம்
C - அசிட்டைல் குளோரைடு
D - அசிட்டோஃபீனோன்
E - எத்தில் ஆல்கஹால்
3. X மற்றும் Y ஆகியவற்றை கண்டறிக

4. A, B மற்றும் C ஆகியவற்றை கண்டறிக. பென்சைல்
சேர்மம் : பெயர்
A - பென்சாயில் குளோரைடு
B - பென்சோஃபீனோன்
C - எத்தில் பென்சோயேட்
5. (A) எனும் கரிமசேர்மம் (C3H5Br) ஐ உலர் ஈதரில் உள்ள மெக்னீஷியத்துடன் வினைப்படுத்தும்போது சேர்மம் (B) கிடைக்கிறது இச்சேர்மத்தை CO2 உடன் வினைப்படுத்தி அமிலத்துடன் சேர்க்கும்போது (C) கிடைக்கிறது. (A), (B) மற்றும் (C) ஆகியவற்றை கண்டறிக.
தீர்வு :

6. பின்வரும் வினையில் A, B, C மற்றும் D ஆகியவற்றை கண்டறிக.

சேர்மம் : பெயர்
A : அசிட்டைல் குளோரைடு
B : அசிட்டால்டிஹைடு
C : 3-ஹைட்ராக்சி பியூட்டனல்
D : குரோட்டோனால்டிஹைடு
7. (A) எனும் ஆல்கீன் ஓசோனேற்ற வினையில் புரப்பனோன் மற்றும் ஒரு ஆல்டிஹைடு (B) ஆகியவற்றை தருகிறது. சேர்மம் (B)ஐ ஆக்ஸிஜனேற்றம் செய்யும்போது (C) கிடைக்கிறது. சேர்மம் (C) ஐBr2/P உடன் வினைப்படுத்தும் போது சேர்மம் (D) கிடைக்கிறது, இது நீராற்பகுக்கும்போது (E) ஐ தருகிறது. புரப்பனோனை HCN உடன் வினைப்படுத்தி நீராற்பகுக்கும்போது சேர்மம் (E) உருவாகிறது. A, B, C, D மற்றும் E ஆகியவற்றை கண்டறிக.

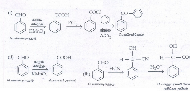
8. பென்சால்டிஹைடை பின்வரும் சேர்மங்களாக எவ்வாறு மாற்றுவாய்?

9. பின்வருவனவற்றின் மீது HCNன் செயல்பாடு யாது?
(i) புரப்பனோன்
(ii) 2,4-டைகுளோரோபென்சால்டிஹைடு
iii) மெத்தனல்

10. C5H10O எனும் மூலக்கூறு வாய்ப்பாடு கொண்ட (A) எனும் கார்பனைல் சேர்மமானது, சோடியம் பைசல்பைட்டுடன் படிக வீழ்படிவை தருகிறது, மேலும் அது அயோடோஃபார்ம் வினைக்கு உட்படுகிறது. சேர்மம் (A) ஃபெலிங் கரைசலை ஒடுக்குவதில்லை . சேர்மம் (A) வை கண்டறிக. PTA-1

• (A)ஃபெலிங்கரைசலை ஒடுக்குவதில்லை. எனவே அது ஒரு கீட்டோன்
• மேலும் அயோடோஃபார்ம் வினைக்கு உட்படுவதால், அது ஒரு மெத்தில் கீட்டோன்
• எனவே (A) என்பது 2-பென்டனோன்
11. அசிட்டோனுடன் பென்சால்டிஹைடின் ஆல்டால் குறுக்கவினையில் உருவாகும் முதன்மையான விளைபொருளின் அமைப்பு வாய்ப்பாட்டை எழுதுக.

12. பின்வரும் மாற்றங்கள் எவ்வாறு நிகழ்த்தப்படுகின்றன?
(a) புரப்பனல் – பியூட்டனோன்
(b) ஹெக்ஸ்-3-ஐன் – ஹெக்சன் -3-ஒன்
(c) பீனைல் மெத்தனல் – பென்சாயிக் அமிலம்
(d) பீனைல் மெத்தனல் – பென்சாயின்

13. பின்வரும் வினையை நிரப்புக.

14. A, B மற்றும் C ஆகியவற்றை கண்டறிக.

சேர்மம் : பெயர் : வாய்பாடு
A - பென்சைல் சயனைடு - C6H5CH2CN
B - பென்சைல் மெக்னீசியம் புரோமைடு- C5H5CH2MgBr
C - பீனைல் அசிட்டிக் அமிலம் - C6H5CH2 COOH
15. கீட்டோன்களை ஆக்ஸிஜனேற்றம் செய்யும்போது கார்பன் - கார்பன் பிணைப்பு பிளக்கப்படுகிறது. வலிமையான ஆக்ஸிஜனேற்றியைக் கொண்டு 2, 5 - டைமெத்தில்ஹெக்சன் - 2 - ஒன் எனும் சேர்மத்தை ஆக்ஸிஜனேற்றம் செய்யும் போது கிடைக்கப்பெறும் விளைபொரு(ட்க)ளின் பெயர்(களை) எழுதுக

மேற்கண்ட பாபஃப் விதியின் படி நடைபெறுகிறது. இவ்விதிப்படி, சீர்மையற்ற கீட்டோன்களை ஆக்சிஜனேற்றம் செய்யும் போது சிறிய ஆல்கைல் தொகுதியுடன் கீட்டோ தொகுதி இணைந்திருக்கும் வகையில் (C - CO) பிணைப்பு பிளவுறுகிறது
16. எவ்வாறு தயாரிப்பாய்?
i. அசிட்டிக் அமிலத்திலிருந்து அசிட்டிக் அமில நீரிலி
ii. மெத்தில் அசிட்டேட்டிலிருந்து எத்தில் அசிட்டேட்
iii. மெத்தில்சயனைடிலிருந்து அசிட்டமைடு
iv. எத்தனாலிருந்து லாக்டிக் அமிலம்
v. அசிட்டைல் குளோரைடிலிருந்து அசிட்டோபீனோன்
vi. சோடியம் அசிட்டேட்டிலிருந்து ஈத்தேன்
vii. டொலுயீனிலிருந்து பென்சாயிக் அமிலம்
viii. பென்சால்டிஹைடிலிருந்து மாலகைட் பச்சை
ix. பென்சால்டிஹைடிலிருந்து சின்னமிக் அமிலம்
x. ஈத்தைனிலிருந்து அசிட்டால்டிஹைடு
