எண்ணியல் கணக்குகள் பதில்கள் மற்றும் தீர்வுகள் | இயற்கணிதம் | கணக்கு - பயிற்சி 3.5: காரணிப்படுத்துதல் (Factorisation) | 9th Maths : UNIT 3 : Algebra
Posted On : 24.09.2023 09:04 pm
9 ஆம் வகுப்பு கணக்கு : அலகு 3 : இயற்கணிதம்
பயிற்சி 3.5: காரணிப்படுத்துதல் (Factorisation)
9 ஆம் வகுப்பு கணக்கு : அலகு 3 : இயற்கணிதம் : புத்தக வினாக்கள், பயிற்சிகள், எடுத்துகாட்டு எண்ணியல் கணக்குகளுடன் பதில்கள் மற்றும் தீர்வுகள் : பயிற்சி 3.5: காரணிப்படுத்துதல் (Factorisation)
பயிற்சி 3.5
1. பின்வருவனவற்றைக் காரணிப்படுத்துக:
(i) 2a2 + 4a2b + 8a2c
(ii) ab − ac − mb + mc

2. பின்வருவனவற்றைக் காரணிப்படுத்துக:
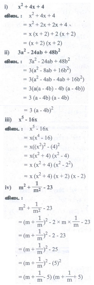
(i) x2 + 4x + 4
(ii) 3a2 − 24ab + 48b2
(iii) x5 – 16x
(iv) m2 + 1/m2 − 23
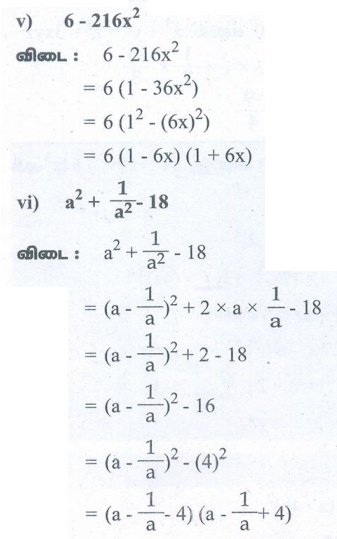
(v) 6 − 216x2
(vi) a2 + 1/a2 − 18


3. பின்வருவனவற்றைக் காரணிப்படுத்துக:
(i) 4x2 + 9y2 + 25z2 +12.xy + 30yz + 20.xz
(ii) 25x2 + 4y2 + 9z2 − 20xy + 12yz – 30xz

4. பின்வருவனவற்றைக் காரணிப்படுத்துக:
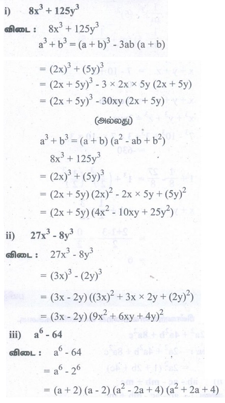
(i) 8x3 + 125y3
(ii) 27x3 – 8y3
(iii) a6 − 64

5. பின்வருவனவற்றைக் காரணிப்படுத்துக:
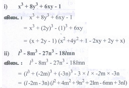
(i) x3 + 8y3 + 6.xy − 1
(ii) l3 – 8m3 – 27n3 – 18lmn

Tags : Numerical Problems with Answers, Solution | Algebra | Maths எண்ணியல் கணக்குகள் பதில்கள் மற்றும் தீர்வுகள் | இயற்கணிதம் | கணக்கு.
9th Maths : UNIT 3 : Algebra : Exercise 3.5: Factorisation Numerical Problems with Answers, Solution | Algebra | Maths in Tamil : 9th Standard
Tamil Medium School Samacheer Book Back Questions and answers, Important Question with Answer.
9 ஆம் வகுப்பு கணக்கு : அலகு 3 : இயற்கணிதம் : பயிற்சி 3.5: காரணிப்படுத்துதல் (Factorisation) - எண்ணியல் கணக்குகள் பதில்கள் மற்றும் தீர்வுகள் | இயற்கணிதம் | கணக்கு : 9 ஆம் வகுப்பு
புத்தகம் கேள்விகள் மற்றும் பதில்கள்.