எண்ணியல் கணக்குகள் பதில்கள் மற்றும் தீர்வுகள் | இயற்கணிதம் | கணக்கு - பயிற்சி 3.1: பல்லுறுப்புக் கோவைகள் (Polynomials) | 9th Maths : UNIT 3 : Algebra
பயிற்சி 3.1
1. பின்வரும் கோவைகளில் எவை பல்லுறுப்புக் கோவைகளாகும்? பல்லுறுப்புக் கோவை இல்லை எனில், அதற்கான காரணம் கூறுக.
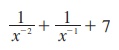
(i) 1/x2 + 3x − 4
(ii) x2 (x − 1)
(iii) 1/x (x + 5)
(iv) 
(v) √5x2 + √3x + √2
(vi) m2 − 3√m + 7m − 10

2. பின்வரும் ஒவ்வொரு பல்லுறுப்புக் கோவையிலும் x2 மற்றும் x−இன் கெழுக்களைக் காண்க.
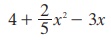
(i) 
(ii) 6 – 2x2 + 3x3 − √7x
(iii) πx2 – x + 2
(iv) √3x2 + √2x + 0.5
(v) x2 – 7/2 x+8

3. பின்வரும் பல்லுறுப்புக் கோவைகளின் படியைக் காண்க.
(i) 1 − √2 y2 + y7
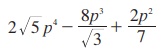
(ii)
(iii) x3 (x2 +x)
(iv) 3x4 + 9x2 + 27x6
(v) 

4. பின்வரும் பல்லுறுப்புக் கோவைகளைத் திட்ட வடிவில் மாற்றி எழுதுக.
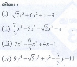
(i) x−9+√7x3 + 6x2
(ii) √2x2 − 7/2 x4 + x − 5x3
(iii) 7x3 – 6/5 x2 + 4x − 1
(iv) y2 + √5y3 − 11− (7/3)y+ 9y4

5. கீழ்க்காணும் பல்லுறுப்புக் கோவைகளைக் கூட்டுக. மேலும் கூட்டி வரும் பல்லுறுப்புக் கோவையின் படியைக் காண்க.
(i) p(x) = 6x2 − 7x + 2 ; q(x) = 6x3 – 7x + 15
(ii) h(x) = 7x3 − 6x + 1 ; f(x) = 7x2 + 17x – 9
(iii) f(x) = 16x4 − 5x2 + 9 ; g(x) = − 6x3 + 7x – 15

6. பின்வரும் பல்லுறுப்புக் கோவைகளைக் கழிக்க. மேலும் கழித்து வரும் பல்லுறுப்புக் கோவையின் படியைக் காண்க.
(i) p(x) = 7x2 + 6x − 1 ; q(x) = 6x − 9
(ii) f(y) = 6y2 – 7y + 2 ; g(y) = 7y+y3
(iii) h(z) = z5 − 6z4 + z ; f(z) = 6z2 + 10z − 7

7. 2x3 + 6x2 – 5x + 8 உடன் எந்தப் பல்லுறுப்புக் கோவையைக் கூட்ட 3x3 – 2x2 + 6x + 15 கிடைக்கும்?

8. 2x4 + 4x2 – 3x + 7 இலிருந்து எந்தப் பல்லுறுப்புக் கோவையைக் கழிக்க 3x3 – x2 + 2x + 1 கிடைக்கும்?

9. பின்வரும் பல்லுறுப்புக் கோவைகளைப் பெருக்குக. பெருக்கி வரும் பல்லுறுப்புக் கோவையின் படியைக் காண்க :
(i) p(x) = x2−9; q(x) = 6.x2 + 7x – 2
(ii) f(x) = 7x + 2 ; g(x) = 15x − 9
(iii) h(x) = 6x2 – 7x + 1; f(x) = 5x − 7

10. ஒர் இனிப்பின் விலை ₹(x + y). அமீர் (x + y) இனிப்புகளை வாங்கினார். எனில் அவர் கொடுத்த மொத்தத் தொகையை x மற்றும் y களில் காண்க. மேலும் x =10, y =5 எனில் அமீர் கொடுத்த தொகை எவ்வளவு?

11. ஒரு செவ்வகத்தின் நீளம் (3x+2) அலகுகள் மற்றும் அதன் அகலம் (3x−2) அலகுகள் எனில் x ஐப் பொருத்து அதன் பரப்பளவைக் காண்க. x = 20 எனில், அதன் பரப்பளவைக் காண்க.

12. p(x) என்பது படி 1ஐக் கொண்ட ஒரு பல்லுறுப்புக் கோவை மற்றும் q(x) என்பது படி 2 ஐக் கொண்ட ஒரு பல்லுறுப்புக் கோவை எனில் p(x) × q(x) என்பது எவ்வகைப் பல்லுறுப்புக் கோவை?
