எண்ணியல் கணக்குகள் பதில்கள் மற்றும் தீர்வுகள் | இயற்கணிதம் | கணக்கு - பயிற்சி 3.15: பலவுள் தெரிவு வினாக்கள் | 9th Maths : UNIT 3 : Algebra
பயிற்சி 3.15
பலவுள் தெரிவு வினாக்கள்
1. x3 + 6x2 + kx + 6 என்பது (x + 2) ஆல் மீதியின்றி வகுபடும் எனில், k இன் மதிப்பு என்ன?
(1) −6
(2) −7
(3) −8
(4) 11
விடை: (4) 11
2. 2x + 3 = 0 என்ற பல்லுறுப்புக் கோவைச் சமன்பாட்டின் மூலம்
(1) 1/3
(2) − 1/3
(3) − 3/2
(4) − 2/3
விடை: (3) − 3/2
3. 4−3x3 என்ற பல்லுறுப்புக் கோவையின் வகை
(1) மாறிலி பல்லுறுப்புக் கோவை
(2) ஒருபடி பல்லுறுப்புக் கோவை
(3) இருபடி பல்லுறுப்புக் கோவை
(4) முப்படி பல்லுறுப்புக் கோவை.
விடை: (3) இருபடி பல்லுறுப்புக் கோவை
4. x51 + 51 என்பது x + 1, ஆல் வகுக்கப்பட்டால் கிடைக்கும் மீதி
(1) 0
(2) 1
(3) 49
(4) 50
விடை: (4) 50
5. 2x+5 என்ற பல்லுறுப்புக் கோவையின் பூச்சியம்
(1) 5/2
(2) – 5/2
(3) 2/5
(4) −2/5
விடை: (2) – 5/2
6. p(x) = x3 – x2 − 2, q(x) = x2–3x+ 1 ஆகிய பல்லுறுப்புக் கோவைகளின் கூடுதல்
(1) x3− 3x−1
(2) x3 + 2x2−1
(3) x3 − 2x2 − 3x
(4) x3 – 2x2 + 3x −1
விடை: (1) x3− 3x−1
7. (y3–2)(y3 + 1) என்ற பல்லுறுப்புக் கோவையின் படி
(1) 9
(2) 2
(3) 3
(4) 6
விடை: (4) 6
8. கீழ்க்காணும் பல்லுறுப்புக் கோவைகளின் படிகளின் ஏறு வரிசை
(A) −13q5 + 4q2 + 12q
(B) (x2 +4)(x2 + 9)
(C) 4q8 – q6 + q2
(D) −5/7 y12 + y3 + y5
(1) A,B,D,C
(2) A,B,C,D
(3) B,C,D,A
(4) B,A,C,D
விடை: (4) B,A,C,D
9. p(a) = 0 எனில், (x − a) என்பது p(x) இன் ஒரு
(1) வகுத்தி
(2) ஈவு
(3) மீதி
(4) காரணி
விடை: (4) காரணி
10. (2 – 3x) இன் பூச்சியம்
(1) 3
(2) 2
(3) 2/3
(4) 3/2
விடை: (3) 2/3
11. x − 1 என்பது _________ இன் ஒரு காரணி.
(1) 2x −1
(2) 3x − 3
(3) 4x – 3
(4) 3x – 4
விடை: (2) 3x − 3
12. x − 3 என்பது p(x) இன் ஒரு காரணி எனில், மீதி __________
(1) 3
(2) −3
(3) p(3)
(4) p(−3)
விடை: (3) p(3)
13. (x + y) (x2 − xy + y2) = ________
(1) (x + y)3
(2) (x − y)3
(3) x3 + y3
(4) x3 − y3
விடை: (3) x3 + y3
14. (a + b−c)2 =
(1) (a − b + c)2
(2) (−a − b + c)2
(3) (a + b + c) 2
(4) (a − b−c) 2
விடை: (2) (−a − b + c)2
15. ax2 + bx + c என்ற ஈருறுப்புக் கோவையின் காரணிகள் (x + 5) மற்றும் (x − 3) எனில், a, b மற்றும் c இன் மதிப்புகள் _________
(1) 1,2,3
(2) 1,2,15
(3) 1,2, −15
(4) 1, −2,15
விடை: (3) 1,2, −15
16. முப்படிப் பல்லுறுப்புக் கோவைக்கு அதிகபட்சம் _____ நேரிய காரணிகள் இருக்கலாம்.
(1) 1
(2) 2
(3) 3
(4) 4
விடை: (3) 3
17. மாறிலிக் கோவையின் படி
(1) 3
(2) 2
(3) 1
(4) 0
விடை: (4) 0
18. 2x +3y = m என்ற சமன்பாட்டிற்கு x = 2, y = −2 என்பது ஒரு தீர்வு எனில், m இன் மதிப்பு...
(1) 2
(2) −2
(3) 10
(4) 0
விடை: (2) −2
19. கீழ்க்காண்பவற்றுள் எது நேரிய சமன்பாடு
(1) x + 1/x = 2
(2) x(x −1) = 2
(3) 3x+5= 2/3
(4) x3 − x = 5
விடை: (3) 3x+5= 2/3
20. கீழ்க்காண்பனவற்றில் 2x − y = 6 இன் தீர்வு எது?
(1) (2,4)
(2) (4,2)
(3) (3, −1)
(4) (0,6)
விடை: (2) (4,2)
21. 2x+3y = k என்பதன் தீர்வு (2,3) எனில், k இன் மதிப்பைக் காண்க.
(1) 12
(2) 6
(3) 0
(4) 13
விடை: (4) 13
22. ax + by + c = 0 என்ற சமன்பாட்டினை எந்த நிபந்தனை நிறைவு செய்யாது?
(1) a≠0, b = 0
(2) a = 0, b≠0
(3) a = 0, b = 0, c≠0
(4) a≠0, b≠0
விடை: (3) a = 0, b = 0, c≠0
23. கீழ்க்காண்பனவற்றில் எது நேரிய சமன்பாடு அல்ல
(1) ax + by +c = 0
(2) 0x + 0y +c = 0
(3) 0x + by + c = 0
(4) ax + 0y + c = 0
விடை: (2) 0x + 0y +c = 0
24. 4x+6y−1= 0 மற்றும் 2x + ky − 7 = 0 ஆகியவை இணை கோடுகளாக அமையும் எனில், k இன் மதிப்பு காண்க
(1) k = 3
(2) k = 2
(3) k = 4
(4) k = −3
விடை: (1) k = 3
25. கீழ்க்காணும் நேரிய சமன்பாடுகளுக்கான வரைபடங்களில் எதற்குத் தீர்வு இல்லை?

(2)
விடை: (2)
26.
எனில், இங்கு a1x + b1y + c1 = 0 மற்றும் a2x + b2y + c2 = 0 ஆகிய நேரிய சமன்பாடுகளுக்கு ______________
(1) தீர்வு இல்லை
(2) இரண்டு தீர்வுகள்
(3) ஒரு தீர்வு
(4) எண்ணற்ற தீர்வுகள்
விடை: (3) ஒரு தீர்வு
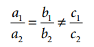
27.
எனில், a1x + b1y + c1 = 0 மற்றும் a2x + b2y + c2 = 0 ஆகிய நேரிய சமன்பாடுகளுக்கு __________
(1) தீர்வு இல்லை
(2) இரண்டு தீர்வுகள்
(3) ஒரு தீர்வு
(4) எண்ணற்ற தீர்வுகள்
விடை: (1) தீர்வு இல்லை
28. இரண்டு பகா எண்களின் மீ.பொ.வ
(1) −1
(2) 0
(3) 1
(4) 2
விடை: (3) 1
29. x4 − y4 மற்றும் x2 − y2 இன் மீ.பொ.வ
(1) x4 − y4
(2) x2 − y2
(3) (x +y)2
(4) (x + y)4
விடை: (2) x2 − y2