எண்ணியல் கணக்குகள் பதில்கள் மற்றும் தீர்வுகள் | இயற்கணிதம் | கணக்கு - பயிற்சி 3.7: பல்லுறுப்புக் கோவைகளின் வகுத்தல் (Division of Polynomials) | 9th Maths : UNIT 3 : Algebra
பயிற்சி 3.7
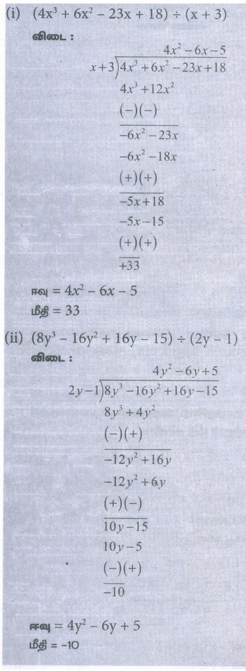
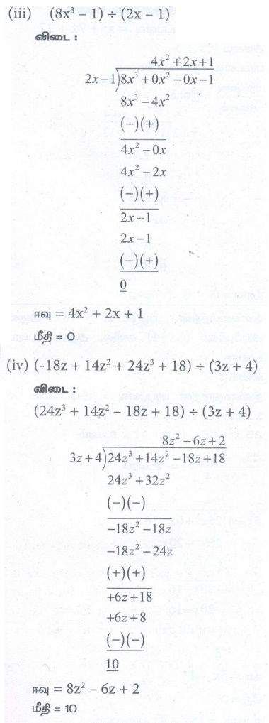
1. பின்வரும் பல்லுறுப்புக் கோவைகளை வகுத்து ஈவு மற்றும் மீதியைக் காண்க.
(i) (4x3 + 6x2 − 23x +18) ÷ (x+3)
(ii) (8y3 − 16y2 + 16y − 15) ÷ (2y−1)
(iii) (8x3 − 1) ÷ (2x−1)
(iv) (−18z + 14z2 + 24z3 +18) ÷ (3z+4)


2. செவ்வகத்தின் பரப்பு x2 + 7x + 12. அதன் அகலம் (x+3) எனில், அதன் நீளம் காண்க.

3. இணைகரத்தின் பரப்பு 25x2 − 16. அதன் அடிப்பக்கம் (5x+4) எனில், அதன் உயரம் காண்க.

4. (x+5) விவரங்களின் கூடுதல் (x3 +125) எனில், விவரங்களின் சராசரியைக் காண்க.

5. தொகுமுறை வகுத்தலைப் பயன்படுத்தி ஈவு மற்றும் மீதி காண்க:
(i) (x3 + x2 – 7x − 3) ÷ (x − 3)
(ii) (x3 + 2x2 − x − 4) ÷ (x +2)
(iii) (8x4 − 2x2 + 6x + 5) ÷ (4x + 1)


6. (8x4 – 2x2 + 6x − 7) ஐ (2x + 1) ஆல் வகுக்கக் கிடைக்கும் ஈவு (4x3 + px2 − qx + 3) எனில், p, q மற்றும் மீதியைக் காண்க.

7. 3x3 + 11x2 + 34x + 106 ஐ x – 3 ஆல் வகுக்கக் கிடைக்கும் ஈவு 3x2 + ax + b எனில், a, b மற்றும் மீதி ஆகியவற்றைக் காண்க.
