இரு மாறிகளில் அமைந்த நேரியச் சமன்பாடு (Linear Equation in Two Variables), எண்ணியல் கணக்குகள் பதில்கள் மற்றும் தீர்வுகள் | இயற்கணிதம் | கணக்கு - குறுக்குப் பெருக்கல் முறையில் தீர்வு காணுதல் (Solving by Cross Multiplication Method) | 9th Maths : UNIT 3 : Algebra
Posted On : 24.09.2023 11:14 pm
9 ஆம் வகுப்பு கணக்கு : அலகு 3 : இயற்கணிதம்
குறுக்குப் பெருக்கல் முறையில் தீர்வு காணுதல் (Solving by Cross Multiplication Method)
9 ஆம் வகுப்பு கணக்கு : அலகு 3 : இயற்கணிதம் : புத்தக வினாக்கள், பயிற்சிகள், எடுத்துகாட்டு எண்ணியல் கணக்குகளுடன் பதில்கள் மற்றும் தீர்வுகள் : குறுக்குப் பெருக்கல் முறையில் தீர்வு காணுதல் (Solving by Cross Multiplication Method)
பயிற்சி 3.13
1. குறுக்குப் பெருக்கல் முறையைப் பயன்படுத்தித் தீர்க்க
(i) 8x−3y =12; 5x = 2y+7
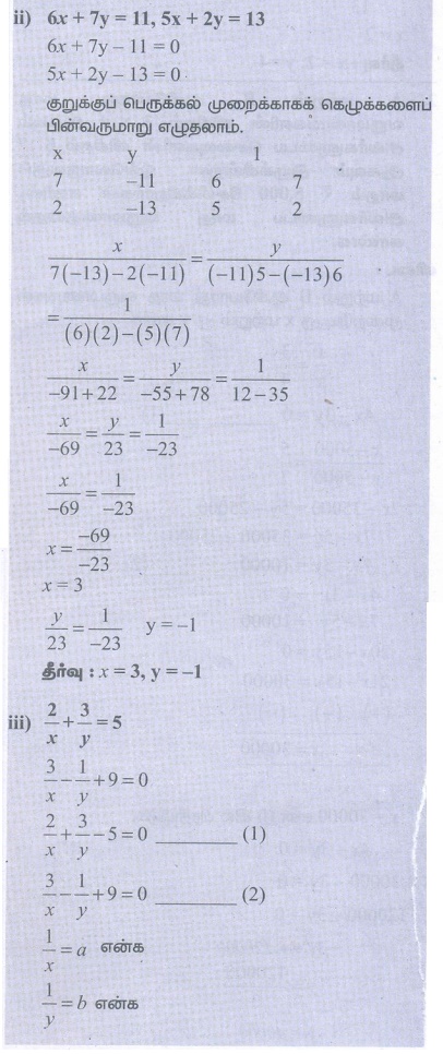
(ii) 6x+7y−11= 0; 5x+2y = 13
(iii) 2/x + 3/y =5; 3/x – 1/y + 9 = 0



2. அட்சயா தனது பணப்பையில் (purse) இரண்டு ரூபாய் நாணயங்களையும், ஐந்து ரூபாய் நாணயங்களையும் வைத்திருந்தாள். அவள் மொத்தமாக ₹ 220 மதிப்புடைய 80 நாணயங்களை வைத்திருந்தாள் எனில், ஒவ்வொன்றிலும் எத்தனை நாணயங்கள் வைத்திருந்தாள்.

3. இரு வெவ்வேறு அளவு விட்டமுடைய குழாய்கள் மூலம் ஒரு நீச்சல் குளத்தில் முழுமையாக நீர் நிரப்ப 24 மணி நேரம் ஆகும். அதிக விட்டமுடைய குழாயை 8 மணி நேரமும் குறைந்த விட்டமுடைய குழாயை 18 மணி நேரமும் பயன்படுத்தி நீர் நிரப்பினால் நீச்சல் குளத்தில் பாதி அளவு நீர் நிரம்பும் எனில், தனித்தனியாக அந்தக் குழாய்களைக் கொண்டு நீச்சல் குளம் முழுவதிலும் நீர் நிரப்ப ஆகும் கால அளவுகளைக் காண்க.

Tags : Solving simultaneous linear equations in Two Variables | Numerical Problems with Answers, Solution | Algebra | Maths இரு மாறிகளில் அமைந்த நேரியச் சமன்பாடு (Linear Equation in Two Variables), எண்ணியல் கணக்குகள் பதில்கள் மற்றும் தீர்வுகள் | இயற்கணிதம் | கணக்கு.
9th Maths : UNIT 3 : Algebra : Exercise 3.13: Solving by Cross Multiplication Method Solving simultaneous linear equations in Two Variables | Numerical Problems with Answers, Solution | Algebra | Maths in Tamil : 9th Standard
Tamil Medium School Samacheer Book Back Questions and answers, Important Question with Answer.
9 ஆம் வகுப்பு கணக்கு : அலகு 3 : இயற்கணிதம் : குறுக்குப் பெருக்கல் முறையில் தீர்வு காணுதல் (Solving by Cross Multiplication Method) - இரு மாறிகளில் அமைந்த நேரியச் சமன்பாடு (Linear Equation in Two Variables), எண்ணியல் கணக்குகள் பதில்கள் மற்றும் தீர்வுகள் | இயற்கணிதம் | கணக்கு : 9 ஆம் வகுப்பு
புத்தகம் கேள்விகள் மற்றும் பதில்கள்.