இரு மாறிகளில் அமைந்த நேரியச் சமன்பாடு (Linear Equation in Two Variables), எண்ணியல் கணக்குகள் பதில்கள் மற்றும் தீர்வுகள் | இயற்கணிதம் | கணக்கு - பயிற்சி 3.14: ஏதேனும் ஒரு முறையைப் பயன்படுத்தித் தீர்க்க | 9th Maths : UNIT 3 : Algebra
பயிற்சி 3.14
ஏதேனும் ஒரு முறையைப் பயன்படுத்தித் தீர்க்க
1. ஓர் ஈரிலக்க எண்ணையும் அதன் இலக்கங்களை மாற்றுவதால் கிடைக்கும் எண்ணையும் கூட்டினால் 110 கிடைக்கும். கொடுக்கப்பட்ட அந்த ஈரிலக்க எண்ணிலிருந்து 10 ஐக் கழித்தால் அது கொடுக்கப்பட்ட ஈரிலக்க எண்ணின் இலக்கங்களின் கூடுதலின் 5 மடங்கை விட 4 அதிகம் எனில், அந்த எண்ணைக் காண்க.

2. ஒரு பின்னத்தின் பகுதி மற்றும் தொகுதியின் கூடுதல் 12. அப்பின்னத்தின் பகுதியுடன் 3 ஐக் கூட்டினால் அதன் மதிப்பு 1/2 ஆகும் எனில், அப்பின்னத்தைக் காண்க.

3. ABCD என்ற வட்ட நாற்கரத்தில் ∠A = (4y + 20) ϒ, ∠B = (3y −5) ϒ, ∠C =(4x) ϒ மற்றும் ∠D = (7x + 5) ϒ எனில், நான்கு கோணங்களையும் காண்க.

4. ஒரு தொலைக்காட்சிப் பெட்டியை 5% இலாபத்திற்கும், ஒரு குளிர்சாதனப் பெட்டியை 10% இலாபத்திற்கும் விற்பதால் கடைக்காரருக்கு நிகர இலாபம் ₹2,000 கிடைக்கிறது. ஆனால் அவர் ஒரு தொலைக்காட்சிப் பெட்டியை 10% இலாபத்திற்கும், ஒரு குளிர்சாதனப் பெட்டியை 5% நட்டத்திற்கும் விற்பதால் அவரின் நிகர இலாபம் ₹1,500 கிடைக்கிறது எனில், தொலைக்காட்சிப் பெட்டி மற்றும் குளிர்சாதனப் பெட்டியின் சரியான விலைகளைக் காண்க.

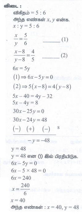
5. இரு எண்கள் 5: 6 என்ற விகிதத்தில் உள்ளன. அவை ஒவ்வொன்றிலிருந்தும் முறையே 8 ஐக் கழித்தால் அவற்றின் விகிதம் 4 : 5 என மாறும் எனில், அந்த எண்களைக் காண்க.

6. 4 இந்தியர்கள் மற்றும் 4 சீனர்கள் சேர்ந்து 3 நாள்களில் ஒரு வேலையை முடிக்கிறார்கள். 2 இந்தியர்கள் மற்றும் 5 சீனர்கள் சேர்ந்து அதே வேலையை 4 நாள்களில் முடிக்கிறார்கள் எனில், இப்பணியைத் தனியாக ஒரு இந்தியர் எத்தனை நாள்களில் செய்வார்? ஒரு சீனர் தனியாக எத்தனை நாள்களில் செய்வார்?
