கேள்வி பதில்கள், தீர்வுகள் | எண்கள் | அலகு 1 | 8 ஆம் வகுப்பு கணக்கு - பயிற்சி 1.1: விகிதமுறு எண்கள் | 8th Maths : Chapter 1 : Numbers
பயிற்சி 1.1
1. கோடிட்ட இடங்களை நிரப்புக:
(i)
ஆனது −4 மற்றும் −3 என்ற முழுக்களுக்கிடையே இருக்கும்.
(ii)
என்ற விகிதமுறு எண்ணின் தசம வடிவம் −3.75 ஆகும்.
(iii)
ஆகிய விகிதமுறு எண்கள் 0 இலிருந்து சம தொலைவில் இருக்கும்.
(iv)
என்ற வரிசையின் அடுத்த விகிதமுறு எண் 30 / −48 ஆகும்.
(v)
இன் திட்ட வடிவம் −29 / 39 ஆகும்.
2. சரியா, தவறா எனக் கூறுக:
(i) 0 ஆனது மிகச்சிறிய விகிதமுறு எண் ஆகும். விடை: தவறு
(ii)
ஆனது
இன் இடதுபுறமாக உள்ளது. விடை: சரி
(iii)
ஐ விடப் பெரியது. விடை: தவறு
(iv) இரு விகிதமுறு எண்களின் சராசரியானது அவற்றிற்கிடையே அமையும். விடை: சரி
(v) 10 மற்றும் 11 இக்கு இடையில் எண்ணிலடங்கா விகிதமுறு எண்கள் உள்ளன. விடை: சரி
3. எண்கோட்டின் மீது கேள்விக்குறியிட்டுள்ள இடங்களில் அமைந்த விகிதமுறு எண்களைக் காண்க.


4. ஓர் எண்கோட்டின் மீது S, Y, N, C, R, A, T, I மற்றும் O ஆகிய புள்ளிகள் CN = NY = YS மற்றும் RA = AT = TI = IO என்றுள்ளவாறு இருக்கின்றன. Y, N, A, T மற்றும் I ஆகிய எழுத்துக்களால் குறிக்கப்பெறும் விகிதமுறு எண்களைக் காண்க.


5. ஓர் எண்கோட்டினை வரைந்து, அதன் மீது பின்வரும் விகிதமுறு எண்களைக் குறிக்கவும்.


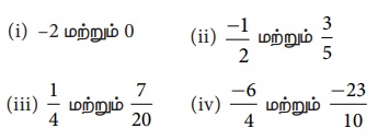
6. பின்வரும் விகிதமுறு எண்களின் தசம வடிவத்தை எழுதவும்.


7. கொடுக்கப்பட்ட விகிதமுறு எண்களுக்கு இடையில் ஏதேனும் ஐந்து விகிதமுறு எண்களைப் பட்டியிலிடுக.


8. சராசரிகள் முறையைப் பயன்படுத்தி,
மற்றும்
ஆகியவற்றுக்கு இடையே 2 விகிதமுறு எண்களை எழுதவும்.

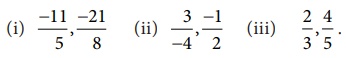
9. பின்வரும் விகிதமுறு எண்சோடிகளை ஒப்பிடுக.


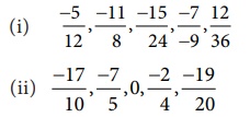
10. பின்வரும் விகிதமுறு எண்களை ஏறுவரிசை மற்றும் இறங்கு வரிசையில் எழுதுக.



கொள்குறிவகை வினாக்கள்
11.
கிடைக்க ________ என்ற எண்ணை
இலிருந்து கழிக்க வேண்டும்.

விடை: (ஆ) −142 / 99

12. பின்வரும் சோடிகளில் எது சமான எண்களின் சோடியாகும்?

விடை: (ஆ) 16 / −30 , −8 / 15

13.
என்ற விகிதமுறு எண்ணானது ________ ஆகியவற்றின் இடையில் அமையும்.

(அ) 0 மற்றும் −5/4
(ஆ) –1 மற்றும் 0
(இ) –1 மற்றும் –2
(ஈ) –4 மற்றும் –5
விடை: (இ) –1 மற்றும் –2
14. பின்வரும் விகிதமுறு எண்களில் எது மிகப் பெரியது?

விடை: (அ) −17 / 24

15.
இன் எளிய வடிவில் உள்ள பகுதியின் இலக்கங்களின் கூடுதல்
(அ) 4
(ஆ) 5
(இ) 6
(ஈ) 7
விடை: (இ) 6